熊猫体育

您当前的位置 : 熊猫体育 > 产品中心 > 更多起重设备
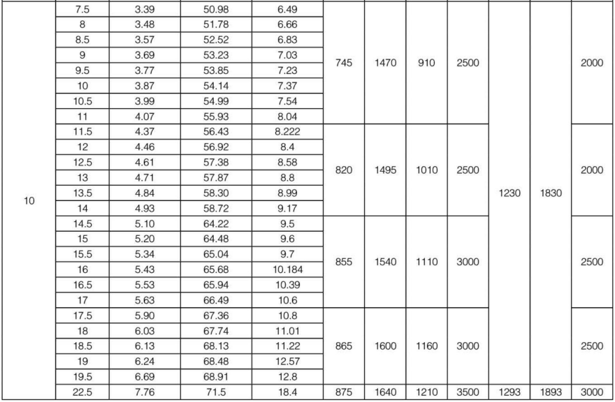
10吨单梁起重机技术参数及配置表

LD型10吨电动单梁桥式起重机(以下简称10吨起重机)是按标准JB/T1306-94设计制造的,与CDI、MDI等形式的电动葫芦配套使用,成为一种有轨运行的轻小型起重机,起重量为10吨,适用跨度为7.5-22.5米工作环境温度在—25—+40℃范围内。

  • 适用起重量10吨
  • 适用跨度7.5m-22.5m

24h全国免费咨询热线
86-13929139265

创造客户价值 助力客户成功-熊猫体育「中国」官方网站 - 快乐运动,智慧健身
广东熊猫体育起重设备凭借良好的声誉,优异的品质及完善的服务赢得世界点赞,在国内外众多企业大放异彩,在广东周边地区享有超高的荣誉,屹立在美丽的佛山,展望在世界的起重机行业舞台。